Community Health

Peano Axioms: The Foundation of Arithmetic | Community Health

Peano Axioms: The Foundation of Arithmetic | Community Health

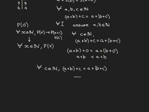
The Peano axioms, formulated by Giuseppe Peano in 1889, are a set of five fundamental principles that define the properties of natural numbers. These axioms, wh

Overview

The Peano axioms, formulated by Giuseppe Peano in 1889, are a set of five fundamental principles that define the properties of natural numbers. These axioms, which include the concept of zero, the successor function, and the principle of induction, have had a profound impact on the development of modern mathematics, particularly in the fields of number theory, algebra, and logic. With a vibe rating of 8, the Peano axioms have been widely influential, shaping the work of mathematicians such as Bertrand Russell and David Hilbert. However, they have also been the subject of controversy, with some critics arguing that they are too restrictive or that they fail to fully capture the complexity of human intuition about numbers. As we look to the future, it is clear that the Peano axioms will continue to play a central role in shaping our understanding of mathematics and its applications. For instance, the axioms have been used to develop formal verification systems, such as the one used in the proof of the Four Color Theorem, which have significant implications for computer science and artificial intelligence. Furthermore, the Peano axioms have also been used to study the foundations of mathematics, leading to a deeper understanding of the nature of mathematical truth and the limits of formal systems.